Cse Computer Science Engineering Lecture Notes Study

Gate 2019 Question Paper With Solution Download Pdf

Gate Mining Engineering 2009 Translation In Hindi Kannada


Mine Machinery Combined Notes Docx T J R Faulkner College

Mining Job Mechanical Engineering Interview Questions And
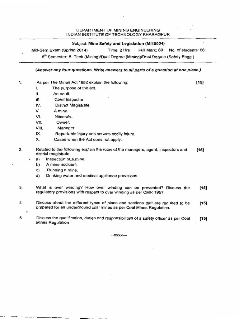
Answer Any Four Questions Write Answers To All Parts Of

Top 10 Mining Engineer Interview Questions And Answers

Jntuh Mining Previous Year Question Papers

Previous Year Exam Questions Of Underground Metal Mining Of Bput Umm By Bput Toppers

Frequently Asked Questions Of Blethen Mining Associates Pc

Top 10 Mining Engineer Interview Questions And Answers

Previous Year Exam Questions For Eco Friendly Mining Efm Of 2019 Bput By Bput Toppers

Maharashtra State Board Of Technical Education Msbte Sample

Gate Mining Engineering Question Paper 1 2007 Edugorilla Study Material

Top 5 Mining Engineer Interview Questions With Answers

Top 10 Mining Engineer Interview Questions And Answers

Buy A Textbook On Mining Engineering Answers To Questions

Engineering Interview Question Answer 1 2 0 Apk