
Practical Electronic Programme 3 Sinhala

Advanced Manufacturing Engineering Technology Academy

Industrial Mechanical Engineering Technology Program

Engineering Technology Practical Sinhala Youtube

Simulation In Engineering And Technology A Practical
Eit Adv Dip Mechanical Engineering Technology Dme Brochure

Practice And Exploration On The Training Mode Of

4 Th Global Congress And Expo On Engineering Technology And
Uthm Report Projek Akm1

Practical Gear Engineering

What Exactly Is Engineering Technology
Engineering Technology At Iupui Posts Facebook

Concrete Technology Practical Pdf Download Lecturenotes

Wire Binding Practical Advanced Level Engineering Technology In Sinhala

G C E Al Examination Practical Test For Engineering
Iet Davv Must Watch Updated Practical Exam Time Table Of

A L Engineering Technology Et Download Practical Videos

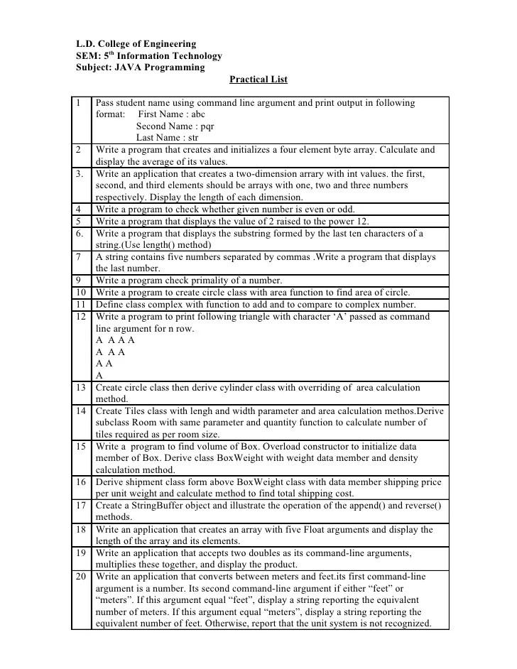
Practical Java